In questa pagina si riportano 20 esercizi svolti su alcune delle tipologie più diffuse di quiz di Ragionamento Logico e Logico-Matematico presenti nei test di ammissione a Medicina - Università Cattolica.
Quiz n. 1
Traccia:
"Non è possibile dubitare della necessità di impedire che la legge non venga approvata". Qual è il corretto significato della precedente affermazione?
a) è necessario che la legge non venga approvata
b) nessuna delle altre alternative proposte
c) è necessario che la legge venga approvata
d) è necessario dubitare dell'approvazione della legge
e) bisogna impedire che si dubiti sulla necessità della legge
Risoluzione:
Nei quesiti di logica verbale contenenti più negazioni conviene spesso parafrasare singole parti della proposizione assegnata per arrivare con maggiore facilità ad individuare la risposta corretta.
"Non è possibile dubitare" equivale a dire "Bisogna essere certi" perchè due negazioni si annullano vicendevolmente e quindi affermano; "non" e "dubitare" sono le due negazioni che, poste una dopo l'altra, hanno il significato di "essere certi".
Con ragionamento analogo si deduce che "impedire che la legge non venga approvata" equivale a dire "permettere che la legge venga approvata"; anche in questo caso "impedire" e "non" sono due negazioni che si annullano vicendevolmente.
In virtù delle considerazioni appena esposte si può trasformare la proposizione iniziale nel seguente modo: "Bisogna essere certi della necessità di permettere che la legge venga approvata"; o in forma più sintetica: "E' necessario che la legge venga approvata", come indicato nella risposta c) che è, quindi, la risposta corretta.
Quiz n. 2
Traccia:

E' stata condotta una ricerca sui principali modi di trascorrere il tempo libero tra i cittadini italiani. In particolare il grafico seguente associa la distribuzione delle principali attività all'età del soggetto: bambino; adolescente; adulto; anziano. Sulla base dei risultati della ricerca rappresentati nel grafico, NON si può affermare con certezza che:
a) i bambini che trascorrono il tempo libero con la lettura sono numericamente meno degli adulti che trascorrono il tempo libero con la medesima attività
b) gli adolescenti che trascorrono il tempo libero praticando sport sono numericamente più di quelli che lo trascorrono con la lettura
c) la percentuale di adolescenti che trascorre il tempo guardando la televisione è uguale a quella degli adulti
d) tra gli anziani, il numero di coloro che trascorrono il tempo libero guardando la televisione è uguale a quello di coloro che trascorrono il tempo libero leggendo
e) nessuna delle alternative proposte
Risoluzione:
Si analizzano le singole risposte:
- risposta a): dal grafico si deduce che i bambini che trascorrono il tempo libero con la lettura costituiscono circa il 5% del totale dei bambini, mentre gli adulti che impiegano il tempo libero leggendo sono il 20% del totale degli adulti.
E' impossibile confrontare numericamente (in termini assoluti) i bambini che si dedicano alla lettura con gli adulti che trascorrono il tempo libero con la medesima attività, infatti non si conoscono il numero totale di bambini e adulti intervistati.
Potrebbe per esempio accadere che, ipotizzando un numero di bambini intervistati pari a 1500 e un numero di adulti intervistati pari a 300, il 5% dei bambini (pari a 75) sia maggiore del 20% degli adulti (pari a 60).
- risposta b): dal grafico si deduce che gli adolescenti che trascorrono il tempo libero praticando sport costituiscono il 30% del totale degli adolescenti, mentre gli adolescenti che impiegano il tempo libero leggendo sono il 10% del totale.
E' possibile affermare con certezza che gli adolescenti che praticano sport sono in termini numerici superiori a quelli che trascorrono il tempo libero con la lettura, infatti le 2 percentuali ricavate dal grafico devono essere calcolate rispetto allo stesso numero totale di adolescenti intervistati (dato numerico non necessario ai fini della risoluzione del quesito).
- risposta c): dal grafico si deduce che gli adolescenti che trascorrono il tempo libero guardando la televisione costituiscono il 40% del totale degli adolescenti così come gli adulti che guardano la televisione sono il 40% del totale degli adulti.
E' possibile affermare con certezza che le percentuali di adolescenti e adulti che guardano la televisione sono le stesse; l'uguaglianza è vera in termini percentuali, ma non è detto che lo sia in termini assoluti, infatti non si può effettuare un confronto numerico tra le due classi di persone intervistate perchè non si conoscono i numeri totali di adolescenti e di adulti intervistati.
- risposta d): dal grafico si deduce che gli anziani che trascorrono il tempo libero guardando la televisione costituiscono il 30% del totale degli anziani così come gli anziani che impiegano il tempo libero leggendo sono il 30% del totale.
E' possibile affermare con certezza che gli anziani che guardano la televisione sono in termini numerici uguali a quelli che trascorrono il tempo libero con la lettura, infatti le 2 percentuali ricavate dal grafico devono essere calcolate rispetto allo stesso numero totale di anziani intervistati (dato numerico non necessario ai fini della risoluzione del quesito).
La risposta corretta è, quindi, la a).
Quiz n. 3
Traccia:
Quale delle figure proposte corrisponde alla composizione volumetrica della figura piana riprodotta in figura?
a) Figura 4
b) Figura 3
c) Figura 1
d) Figura 2 e Figura 3
e) Figura 2
Risoluzione:
Per facilitare la comprensione della risoluzione del quesito, si indicano le 6 facce del cubo con le lettere maisucole A, B, C, D, E ed F:

Le facce A ed F nella composizione del cubo devono essere separate dalla faccia D, quindi la Figura 1 non indica una composizione volumetrica possibile.
La faccia D presenta due triangoli colorati in grigio che sono a contatto con i rettangoli grigi delle facce A ed F, quindi la Figura 3 può essere scartata come alternativa di risposta plausibile.
Inoltre i triangoli grigi della faccia D confinano con i triangoli bianchi delle facce C ed E; si deduce che la composizione volumetrica indicata nella Figura 4 è errata.
Per esclusione, la risposta corretta è, quindi, la e): Figura 2.
Lezioni private online con l'ing. Galeone
Ti stai preparando per il Test di Medicina all'Università Cattolica?
Affidati alla professionalità e all'esperienza...prenota ora le tue lezioni private online con l'Ing. Galeone.
Le lezioni saranno individuali e altamente personalizzate...così avrai un aiuto mirato alle tue specifiche esigenze formative!
Per maggiori info clicca QUI.
Quiz n. 4
Traccia:
Individuare la figura che completa correttamente la serie.
a) Figura 2
b) Figura 1
c) Figura 3
d) Figura 4
e) nessuna delle alternative proposte
Risoluzione:
Il quadratino nero si muove in senso orario di 2 posizioni lungo il perimetro del quadrato grande; si deduce quindi che le Figure 3 e 4 costituiscono le uniche alternative di risposta plausibili.
Inoltre le coppie di lettere presenti nelle figure della serie visiva indicano "le coordinate" del quadratino bianco in cui sono contenute: la prima lettera indica la riga, mentre la seconda indica la colonna; la Figura 4 è la figura incognita che completa la serie in quanto le lettere BC indicano che il quadratino bianco in cui sono contenute si trova all'intersezione tra la seconda riga e la terza colonna.
La risposta corretta è, quindi, la d).
Quiz n. 5
Traccia:
Quante sono le parole (anche senza senso) di 6 lettere che si possono scrivere utilizzando solo le lettere N, A, P, E?
a) 4096
b) 24
c) 15
d) 1296
e) 720
Risoluzione:
Le parole di 6 lettere, formate solo con le lettere N, A, P ed E, possono differire tra loro per una o più lettere (ad es. ENNAPA è diversa da APPENA) o per l'ordine con cui le lettere vengono disposte (ad es. NNPPAA è diversa da AANNPP).
Inoltre, una stessa lettera può essere ripetuta all'interno della parola fino ad un massimo di 6 volte (ad es. la parola EEEEEP rispetta i criteri richiesti).
E' possibile quindi calcolare il numero complessivo di parole che possono essere formate tramite la formula delle disposizioni con ripetizione:
dove "n" è il numero di lettere che possono essere utilizzate per comporre le parole, mentre "k" corrisponde al numero massimo di volte che una lettera può essere ripetuta all'interno della parola.
Applicando tale formula al caso in esame, si ha:
La risposta corretta è, quindi, la a).
Quiz n. 6
Traccia:
L'obiettivo è quello di individuare la sequenza corretta sulla base di una serie di indizi forniti. Per ogni sequenza errata viene indicato se sono presenti caratteri BP (numero di caratteri corretti nella posizione corretta, "ben piazzati") o MP (numero di caratteri corretti, ma nella posizione sbagliata, "mal piazzati") WOTT: 1 BP / 1 MP; WTMB: 2 BP / 1 MP; WOBB: 1 BP; MTTT: 3 BP.
a) WTTM
b) MTTB
c) MTTW
d) WTTT
e) nessuna delle alternative proposte
Risoluzione:
Nella risoluzione del quiz conviene partire dalle risposte:
- la risposta a) non è corretta in quanto non coerente con il primo indizio (WOTT: 1 BP / 1 MP); infatti, dato che nella sequenza WTTM la prima e la terza lettera coincidono con quelle dell'indizio, si sarebbero dovute avere 2 BP (2 lettere "ben piazzate").
- la risposta b) è corretta: MTTB; infatti, essa è coerente con il primo indizio perchè, confrontando MTTB con WOTT, si ha 1 BP e 1 MP.
Confrontandola poi con il secondo indizio (MTTB - WTMB), due lettere sono nella posizione giusta e una è mal piazzata.
Confrontandola con il terzo indizio (MTTB - WOBB), solo una lettera è nella posizione giusta, cioè l'ultima.
Infine, dal confronto con il quarto indizio (MTTB - MTTT), le prime tre lettere sono ben posizionate.
Confrontando in maniera analoga le sequenze presenti nella risposta c) e nella risposta d), essenon sono coerenti con il primo indizio fornito dalla traccia del quesito; si deduce quindi che anche tali alternative non sono corrette.
Quiz n. 7
Traccia:
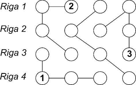
La griglia 4 x 4 contiene solo numeri da 1 a 4 e per essere riempita con i numeri mancanti è necessario seguire tre semplici regole:
1) ogni riga deve contenere differenti numeri;
2) ogni colonna deve contenere differenti numeri;
3) ogni “flusso” collegato dai segmenti deve contenere differenti numeri.
Individuare l’alternativa che rappresenta la corretta sequenza di numeri della Riga 4.
a) 1-3-4-2
b) 1-4-3-2
c) 1-4-2-3
d) 2-3-4-1
e) 4-1-3-2
Risoluzione:
Le alternative di risposta d) ed e) non sono certamente corrette in quanto la Riga 4 inizia con il numero 1.
La risposta c) non è corretta perchè l'ultima cifra della Riga 4 non può essere 3; tale cifra è infatti già presente nella quarta colonna.
Poichè la risposta corretta è una tra la a) e la b), si deduce che l'ultima cifra della Riga 4 è 2, mentre bisogna stabilire l'ordine esatto di posizionamento delle cifre 3 e 4; la situazione al momento è la seguente:

Analizzando meglio la griglia, si nota che il flusso in basso a sinistra deve contenere come prima cifra della Riga 3 il numero 2, quindi le prime cifre della Riga 1 e della Riga 2 possono essere 3 o 4 (vedi figura sottostante):

Si può a questo punto completare il flusso in alto a sinistra inserendo come seconda cifra della Riga 3 il numero 1 e, di conseguenza, come terza cifra della Riga 3 il numero 4.
Osservando infine la seconda e la terza colonna, si deduce che la terza cifra della Riga 4 deve essere 3, quindi 4 è la seconda cifra che completa la Riga 4 (vedi figura sottostante):

La risposta corretta è, quindi, la b).
Quiz n. 8
Traccia:
Uno scoiattolo che corre alla velocità di 20 km/h precede un gatto che corre a 40 km/h. Quanto distano inizialmente i due animali se il gatto raggiunge lo scoiattolo in 12 minuti?
a) 6 km
b) 3 km
c) 2 km
d) 4 km
e) 10 km
Risoluzione:
Il gatto corre ad una velocità di 20 km/h superiore a quella dello scoiattolo; infatti, si ha:
Si deduce che in 1 ora il gatto recupererebbe allo scoiattolo 20 km.
In realtà, poiché il gatto raggiunge lo scoiattolo in 12 minuti (equivalenti ad 1/5 di ora), si può impostare la seguente proporzione:
⇓
x = 20 • (1/5)
⇓
x = 4 km
La risposta corretta è, quindi, la d).
Quiz n. 9
Traccia:
Dopo aver osservato il disegno proposto, composto da un trapezio, un pentagono e un triangolo, indicare quale affermazione è corretta.

a) i numeri comuni al triangolo e al trapezio sono 4, mentre quelli comuni al pentagono e trapezio sono 3
b) i numeri contenuti solo nel pentagono sono di meno rispetto a quelli contenuti solo nel triangolo
c) i numeri comuni al pentagono e al trapezio sono 12, mentre quelli contenuti solo nel triangolo sono 3
d) I numeri comuni al triangolo e al pentagono sono 3
e) nessuna della alternative proposte
Risoluzione:
La risposta a) non è corretta perché i numeri comuni al pentagono e al trapezio sono 12.
La risposta b) non è corretta perché i numeri contenuti solo nel pentagono sono 8, mentre quelli contenuti solo nel triangolo sono 3.
Infine la risposta d) non è corretta perché c'è solo un numero in comune tra triangolo e pentagono.
In base alle considerazioni fatte sulle risposte a) e b), la risposta c) è quella corretta.
Quiz n. 10
Traccia:

a) i cerchi 1 e 2
b) solo il cerchio 2
c) i cerchi 3 e 4
d) solo il cerchio 5
e) solo il cerchio 3
Risoluzione:
Facendo ruotare il cerchio 2 in senso antiorario si vengono a formare in ciascuno dei raggi le seguenti 5 parole di senso compiuto: ACQUA, QUASI, OPERA, LEGGI, CALMA.
La risposta corretta è, quindi, la b).
Quiz n. 11
Traccia:
E' maggiore la parte colorata in grigio della figura 1 o la parte colorata in grigio della figura 2, ed a quale frazione delle figure corrispondono?

a) è maggiore nella figura 1. Corrispondono, rispettivamente, a 47/96 della figura 1 e a 11/28 della figura 2
b) è maggiore nella figura 2. Corrispondono, rispettivamente, a 45/288 della figura 1 e a 1/3 della figura 2
c) è maggiore nella figura 1. Corrispondono, rispettivamente, a 53/72 della figura 1 e a 13/36 della figura 2
d) è maggiore nella figura 2. Corrispondono, rispettivamente, a 17/72 della figura 1 e a 11/36 della figura 2
e) non è possibile stabilirlo con assoluta certezza
Risoluzione:
Si nota facilmente che la parte colorata in grigio è maggiore nella figura 2, quindi si deduce che le opzioni di risposta a) e c) sono certamente errate.
Per calcolare a quali frazioni delle figure corrispondono le parti colorate in grigio, basta associare al triangolo "grande" colorato in grigio (denominato con "A") e al triangolo "piccolo" (denominato con "B") delle frazioni corrispondenti all'area che essi occupano rispetto alla superficie dell'intero quadrato in cui si trovano ed eseguire delle semplici addizioni.
Il triangolo "A" occupa 1/8 della superficie totale del quadrato (vedi suddivisioni nella figura 1 sottostante), mentre il triangolo "B" occupa 1/18 dell'area totale (vedi suddivisioni nella figura 2 sottostante).

Per la figura 1, la frazione colorata in grigio è data dalla seguente addizione:
Per la figura 2, si ottiene invece:
La risposta corretta è, quindi, la d).
Lezioni private online con l'ing. Galeone
Ti stai preparando per il Test di Medicina all'Università Cattolica?
Affidati alla professionalità e all'esperienza...prenota ora le tue lezioni private online con l'Ing. Galeone.
Le lezioni saranno individuali e altamente personalizzate...così avrai un aiuto mirato alle tue specifiche esigenze formative!
Per maggiori info clicca QUI.
Quiz n. 12
Traccia:
Alberto, Carlo, Roberto, Paolo e Sergio sono nati in cinque città diverse: Amsterdam, Cagliari, Roma, Pavia, Siracusa. Alberto e Sergio mentono sempre mentre Paolo non mente mai. Alberto afferma di essere nato ad Amsterdam e che Sergio è nato a Siracusa. Paolo afferma di essere nato a Pavia e riferisce che Alberto gli ha detto di essere nato a Cagliari. Dove può essere nato Alberto?
a) Roma o Siracusa
b) Roma o Cagliari
c) Roma o Amsterdam
d) Siracusa o Pavia
e) Roma o Pavia
Risoluzione:
Alberto afferma di essere nato ad Amsterdam, ma poichè egli mente sempre, si può dedurre che certamente non è nato ad Amsterdam; si deduce che la risposta c) non è corretta.
Paolo afferma di essere nato a Pavia e poichè egli dice sempre la verità, si può dedurre con certezza che Alberto non è nato a Pavia; si eliminano quindi anche le risposte d) ed e).
Infine, Alberto riferisce a Paolo di essere nato a Cagliari, ma anche questa affermazione non può che essere una menzogna; sicuramente Alberto non è nato a Cagliari e si può escludere anche la risposta b).
Alberto, in base alle informazioni contenute nella traccia del quesito, può essere nato solo a Roma o Siracusa.
La risposta corretta è, quindi, la a).
Quiz n. 13
Traccia:
Laura ha tre sorelle, Flavia, Sara e Alice, e due fratelli, Diego e Vincenzo. Si sa che:
I) Diego è il maggiore di tutti;
II) Vincenzo è più grande di Sara e Flavia (non necessariamente in quest'ordine) ma più
piccolo di Laura e Alice (non necessariamente in quest'ordine).
In base alle informazioni precedenti è FALSO affermare che:
a) Flavia è più piccola di Alice
b) Alice non può essere la terza in ordine di età
c) Sara non può essere la seconda in ordine di età
d) Laura è più grande di Sara
e) Alice è più grande di Sara
Risoluzione:
In base alle informazioni fornite dalla traccia del quesito, mettendo in ordine i 6 ragazzi dal più grande al più piccolo, si possono avere 4 configurazioni possibili:
2) Diego, Laura, Alice, Vincenzo, Flavia, Sara
3) Diego, Alice, Laura, Vincenzo, Sara, Flavia
4) Diego, Alice, Laura, Vincenzo, Flavia, Sara
Tutte le affermazioni contenute nelle alternative di risposta sono quindi possibili, tranne quella contenuta nella risposta b); infatti Alice può essere la terza in ordine di età (configurazioni 1 e 2).
Quiz n. 14
Traccia:
Supponendo che ad ogni lettera dell'alfabeto italiano corrisponda un numero compreso tra 1 e 21 e che si conoscano i valori delle seguenti lettere:
La somma dei valori corrispondenti alle lettere della parola FALDE è certamente minore o, al più, pari a:
a) 93
b) 90
c) non vi sono dati sufficienti per rispondere al quesito
d) 92
e) 91
Risoluzione:
Dalla traccia del quesito, si deducono i valori delle lettere F, D ed E per una somma parziale di:
Non essendo nota la logica di assegnazione dei numeri alle singole lettere, le lettere A ed L possono assumere qualsiasi valore numerico compreso tra 1 e 21, ad esclusione dei valori già assegnati alle lettere C, D, E, F e G.
In ogni caso i numeri più grandi che possono essere associati alle lettere A ed L sono 21 e 19 (non importa l'ordine di assegnazione); sommando tali valori alla somma parziale ottenuta precedentemente si ottiene il valore numerico massimo che può essere associato alla parola FALDE:
La risposta corretta è, quindi, la e).
Quiz n. 15
Traccia:
I tre termini “Svedesi”, “Imprenditori”, “Spagnoli” sono legati da una relazione insiemistica. All'interno di questa relazione, “Ana Rosa Quintana, giornalista spagnola” si trova nella parte annerita della:
a) Relazione 2
b) Relazione 5
c) Relazione 1
d) Relazione 11
e) Relazione 8

Risoluzione:
Gli svedesi non sono ovviamente spagnoli (le persone nate in Svezia non possono essere contemporaneamente nate in Spagna); gli insiemi “Svedesi” e “Spagnoli” sono quindi disgiunti.
Gli imprenditori possono essere sia svedesi che spagnoli; l'insieme “Imprenditori” è pertanto intersecato con gli altri due insiemi.
La risposta corretta va quindi scelta tra la a) e la d).
Ana Rosa Quintana, essendo una giornalista spagnola, è un elemento dell'insieme "Spagnoli", ma non può appartenere all'intersezione dell'insieme "Spagnoli" con l'insieme "Imprenditori".
La risposta corretta è, quindi, la d): Relazione 11.
Quiz n. 16
Traccia:
Se il centro commerciale Populis nell'anno 2018 volesse dimezzare il numero degli stagisti rispetto a quello attuale in modo da poter retribuire ciascuno di essi con un importo pari all'85% dello stipendio più alto tra quelli percepiti dai dipendenti Populis, quale sarebbe il costo mensile per il centro commerciale per la retribuzione degli stagisti?
a) 49.995 euro
b) 47.325 euro
c) 46.805 euro
d) 42.636 euro
e) 43.605 euro

Risoluzione:
Dalla tabella si ricava innanzitutto il numero attuale degli stagisti:
Il centro commerciale Populis nel 2018 vuole dimezzare il numero degli stagisti:
La retribuzione di ogni stagista nel 2018 dovrà essere pari all'85% dello stipendio più alto tra quelli percepiti dai dipendenti Populis; si ha quindi:
Infine, il costo mensile per il centro commerciale per la retribuzione degli stagisti si calcola come segue:
La risposta corretta è, quindi, la e).
Quiz n. 17
Traccia:
Un agricoltore ha venduto prima i 5/9 di un terreno e poi 1/4 del rimanente. Sapendo che all’agricoltore rimangono da vendere 1.500 m2 di terreno, quanto misura in tutto il terreno? Quanti m2 sono stati venduti ciascuna volta?
a) il terreno misura in tutto 4.500 m2. Sono stati venduti prima 2.500 m2 e poi 500 m2
b) il terreno misura in tutto 4.800 m2. Sono stati venduti prima 2.600 m2 e poi 700 m2
c) il terreno misura in tutto 4.300 m2. Sono stati venduti prima 2.700 m2 e poi 300 m2
d) il terreno misura in tutto 4.500 m2. Sono stati venduti prima 2.200 m2 e poi 800 m2
e) il terreno misura in tutto 4.800 m2. Sono stati venduti prima 2.500 m2 e poi 800 m2
Risoluzione:
Si indica con "x" la misura incognita del terreno.
L'agricoltore ha prima venduto i 5/9 del terreno, ossia (5/9)•x; successivamente ha venduto 1/4 del terreno rimanente, ossia (1/4)•[x - (5/9)•x]; infine rimane con 1.500 m2 di terreno da vendere.
Tutte le precedenti considerazioni possono essere contenute nella seguente equazione di I grado:
⇓
x - (5/9)•x - (1/4)•x + (1/4)•(5/9)•x = 1.500
⇓
x - (5/9)•x - (1/4)•x + (5/36)•x = 1.500
⇓
36x - 20x - 9x + 5x = 54.000
⇓
12x = 54.000
⇓
x = 4.500 m2
Pertanto, la risposta corretta può essere scelta solo tra la a) e la d).
La prima e la seconda volta l'agricoltore ha venduto le seguenti parti di terreno:
- seconda volta: (1/4)•(4.500 - 2.500) = 500 m2
La risposta corretta è perciò la a).
Quiz n. 18
Traccia:
Nel seguente sistema, le ruote dentate sono libere di ruotare attorno a un perno fisso. Se la ruota dentata C gira in senso antiorario, in quale senso gira la ruota dentata E?
a) nello stesso senso della ruota dentata G
b) in senso orario
c) in senso inverso rispetto alla ruota dentata H
d) nello stesso senso della ruota dentata H
e) la ruota dentata E è bloccata

Risoluzione:
Si tenga presente che due ruote dentate a contatto ruotano sempre in verso opposto.
Quindi se la ruota dentata C gira in senso antiorario, la ruota D gira in senso orario, la ruota E gira in senso antiorario, la ruota G gira in senso orario ed infine la ruota H gira in senso antiorario.
Si deduce che la ruota E e la ruota H girano nello stesso verso.
La risposta corretta è, quindi, la d).
Quiz n. 19
Traccia:
Individuare l'alternativa da scartare
a) fiacco
b) snervato
c) stanchezza
d) spossato
e) debole
Risoluzione:
L'alternativa da scartare è la c).
Infatti, "fiacco", "snervato", "spossato" e "debole" sono 4 aggettivi che hanno lo stesso significato, quindi sono sinonimi.
Invece, il termine "stanchezza" è attinente alle 4 parole sopra indicate, ma è un sostantivo.
Quiz n. 20
Traccia:
Leggere il brano seguente e rispondere alle relative domande.

20a) L'argomento principale del brano è relativo alla:
a) politica finanziaria delle Nazioni Unite
b) tutela delle leggi di mercato
c) politica interna
d) lotta al comunismo
e) politica internazionale
Risoluzione 20a):
L'argomento principale del brano è sicuramente la "politica internazionale", dato che J.F. Kennedy parla delle strategie che gli USA hanno intenzione di adottare soprattutto per:
- aiutare i Paesi più poveri del mondo ad uscire dalla situazione di miseria in cui si trovano;
- aiutare i governi liberi a sud degli Stati Uniti a spezzare le catene della povertà alleandosi con loro per una nuova era di progresso e per resistere alle eventuali mire predatrici di Paesi esteri sulle Americhe;
- collaborare con le Nazioni Unite per rafforzarle come scudo dei Paesi nuovi e dei Paesi deboli;
- ricercare la pace con quelle Nazioni che sono o potrebbero diventare nemiche degli USA.
La risposta corretta è, quindi, la e).
20b) In base a quanto esposto nel brano, a chi era rivolta la "nuova alleanza per il progresso" promessa da Kennedy?
a) alle Repubbliche sorelle a sud del Paese di Kennedy
b) alle Repubbliche sorelle a nord dei confini statunitensi
c) all'URSS
d) agli Stati sovrani delle Nazioni Unite
e) a tutti gli oppositori del comunismo
Risoluzione 20b):
La risposta corretta è sicuramente la a): alle Repubbliche sorelle a sud del Paese di Kennedy.
Infatti, nella prima parte del discorso di insediamento di J.F. Kennedy, si dice testualmente: "Alle Repubbliche sorelle a sud dei nostri confini offriamo una speciale promessa: di tradurre le nostre buone parole in fatti concreti, in una nuova alleanza per il progresso, di assistere gli uomini liberi e i governi liberi a spezzare le catene della povertà.".
20c) Quale delle seguenti affermazioni NON è deducibile dal brano?
a) occorre iniziare ex novo la ricerca della pace
b) è giusto aiutare i molti che sono poveri
c) le Nazioni Unite sono l'ultima grande speranza per il mantenimento della pace
d) è giusto aiutare i governi liberi a spezzare le catene della povertà
e) le Nazioni Unite saranno sempre uno strumento di pace controllato dalle Americhe
Risoluzione 20c):
La risposta a) è deducibile dal brano, infatti, nel capoverso finale si dice: "Infine, a quelle Nazioni che potrebbero divenire nostre avversarie offriamo non già un impegno bensì una richiesta: che entrambe le parti inizino ex novo la ricerca della pace, prima che le potenze tenebrose della distruzione scatenate dalla scienza..."
Anche la risposta b) è deducibile dal brano, poichè nella parte finale del primo capoverso si afferma: "Se una società libera non riesce ad aiutare i molti che sono poveri, non riuscirà mai a salvare i pochi che sono ricchi."
La risposta c) è sicuramente deducibile dalle seguenti parole di J.F. Kennedy: "A quell’assemblea di Stati sovrani che sono le Nazioni Unite, nostra ultima grande speranza in un’era in cui gli strumenti di guerra hanno di gran lunga e rapidamente oltrepassato gli strumenti di pace, rinnoviamo il nostro impegno ad appoggiarle, a impedire che esse divengano..."
Infine, anche la risposta d) è contenuta nel secondo capoverso del brano: "Alle Repubbliche sorelle a sud dei nostri confini offriamo una speciale promessa: di tradurre le nostre buone parole in fatti concreti, in una nuova alleanza per il progresso, di assistere gli uomini liberi e i governi liberi a spezzare le catene della povertà."
La risposta corretta è, quindi, la e): "le Nazioni Unite saranno sempre uno strumento di pace controllato dalle Americhe". Infatti, il presidente neo-eletto degli USA chiede di continuare a collaborare con i membri delle Nazioni Unite per il mantenimento della pace nel mondo (terzo capoverso del brano), ma non fa alcun riferimento ad una leadership indiscussa che le Americhe dovrebbero avere nei confronti degli altri Paesi dell'ONU.
20d) Quale delle seguenti condizioni è verificata nel momento in cui Kennedy tiene il suo discorso d'insediamento?
a) la scienza rischia di esercitare troppo potere sulla politica internazionale
b) soltanto gli avversari degli USA rischiano un deliberato o accidentale autoannientamento
c) grazie alle Americhe, gli strumenti di guerra hanno surclassato quelli di pace
d) grazie alle Nazioni Unite, gli strumenti di pace hanno oltrepassato quelli di guerra
e) gli strumenti di guerra hanno di gran lunga oltrepassato quelli di pace
Risoluzione 20d):
La risposta corretta è la e), infatti nel brano si dice testualmente: "A quell’assemblea di Stati sovrani che sono le Nazioni Unite, nostra ultima grande speranza in un’era in cui gli strumenti di guerra hanno di gran lunga e rapidamente oltrepassato gli strumenti di pace, rinnoviamo il nostro impegno ad appoggiarle, ...".
Le risposte a) e b) indicano scenari futuri possibili che J.F. Kennedy prospetta, ma non descrivono situazioni già in essere al momento del discorso di insediamento.
La risposta c) è errata perchè nel brano non viene data alle Americhe la responsabilità del fatto che gli strumenti di guerra hanno superato gli strumenti di pace.
La risposta d) è palesemente falsa perchè esprime un concetto opposto a quanto riportato nel brano.
Lezioni private online con l'ing. Galeone
Ti stai preparando per il Test di Medicina all'Università Cattolica?
Affidati alla professionalità e all'esperienza...prenota ora le tue lezioni private online con l'Ing. Galeone.
Le lezioni saranno individuali e altamente personalizzate...così avrai un aiuto mirato alle tue specifiche esigenze formative!
Per maggiori info clicca QUI.