Quiz svolti Algebra (Argomenti Comuni)
In questa pagina, si riportano 15 esercizi svolti relativi ad alcuni tra i quesiti più complessi presenti, negli ultimi anni, nelle banche dati di Algebra (Argomenti Comuni) - Prova Cultura Generale - concorsi Scuole Militari di Esercito, Marina ed Aeronautica; laddove possibile, vengono illustrati metodi veloci per giungere più rapidamente alla risposta corretta.
Quiz n. 1
Traccia: Indica il procedimento corretto per risolvere il seguente problema: "La somma di due numeri è 120 e la loro differenza è 40. Qual è il numero minore?" [risposte: a) 120 / 2 - 40; b) (120 + 40) / 2; c) (120 - 40) / 2; d) 120 - 40 / 2]
Risoluzione: si indicano con "x" e "y", rispettivamente, il numero maggiore e il numero minore; valgono le seguenti relazioni:
x + y = 120
x - y = 40
Sottraendo membro a membro le due equazioni, si può ricavare il valore incognito del numero minore "y":
(x - x) + [y - (-y)] = 120 - 40
⇓
2y = 120 - 40
⇓
y = (120 - 40) / 2
La risposta corretta è, quindi, la c).
Quiz n. 2
Traccia: Risolvere la seguente equazione di grado superiore al secondo: x3 - 5x2 + 8x - 4 = 0. [risposte: a) x1 = 1; x2 = -2; x3 = 0; b) x1 = 8; x2 = -2; x3 = 1; c) x1 = 0; x2 = -2; x3 = 1; d) x1 = 1; x2 = x3 = 2]
Risoluzione: si scompone il polinomio di terzo grado mediante la regola di Ruffini, tenendo presente che "1" è una radice del polinomio; infatti, si ha:
P(1) = 13 - 5·12 + 8·1 - 4 = 1 - 5 + 8 - 4 = 0
⇓

Il polinomio di terzo grado può, quindi, essere scomposto nel seguente modo:
x3 - 5x2 + 8x - 4 = (x2 - 4x + 4)(x - 1)
Pertanto, utilizzando la legge di annullamento del prodotto, si risolve l'equazione data:
x3 - 5x2 + 8x - 4 = 0
⇓
(x2 - 4x + 4)(x - 1) = 0
⇓
x - 1 = 0 ⇒ x1 = 1
x2 - 4x + 4 = 0 ⇒ (x - 2)2 = 0 ⇒ x2 = x3 = 2
La risposta corretta è, quindi, la d).
Quiz n. 3
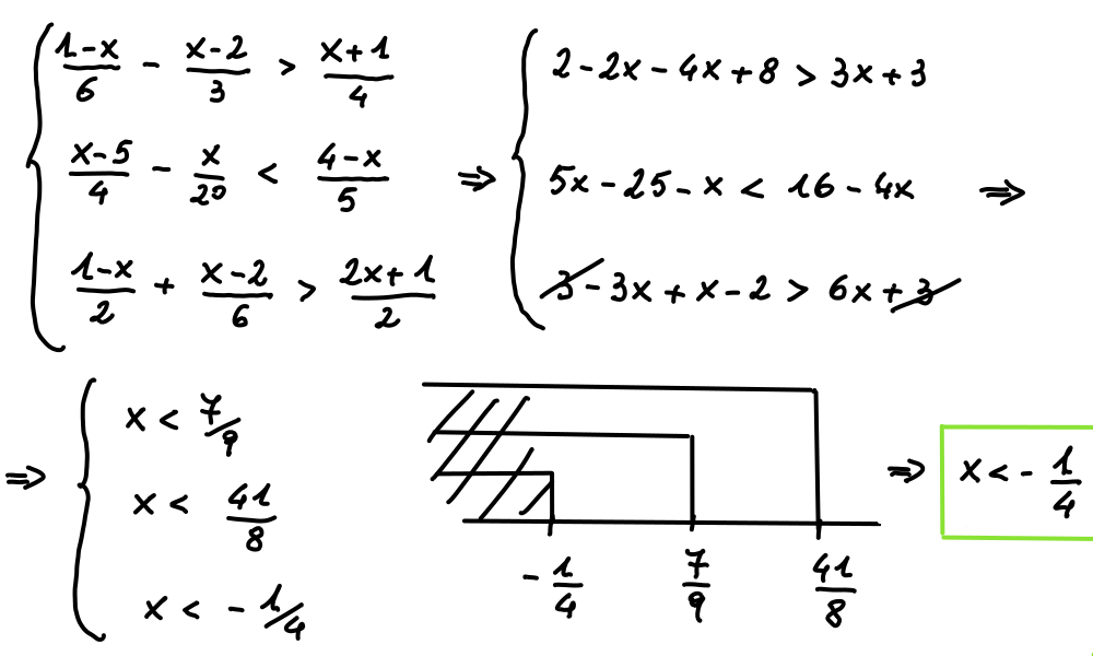
Traccia: Risolvere il seguente sistema di disequazioni: (1 - x)/6 - (x - 2)/3 > (x + 1)/4; (x - 5)/4 - (x/20) < (4 - x)/5; (1 - x)/2 + (x - 2)/6 > (2x + 1)/2. [risposte: a) x < -1/4; b) x > 1/4; c) -1/4 < x < 1/4; d) è impossibile]
Risoluzione: si risolve il sistema di disequazioni:

La risposta corretta è, quindi, la a).
Quiz n. 4
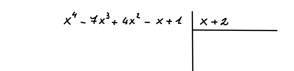
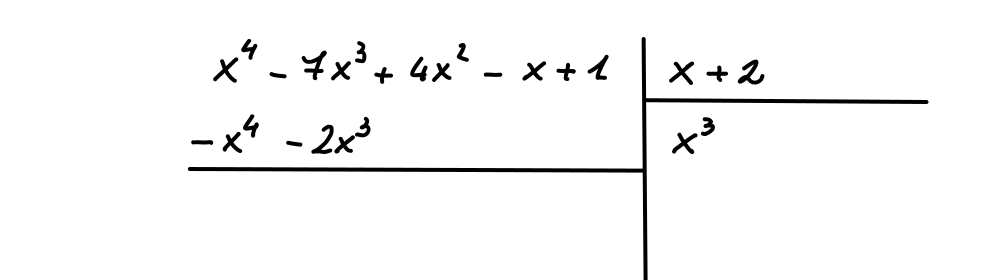
Traccia: Determinare il quoziente e il resto della seguente divisione tra polinomi: (x4 - 7x3 + 4x2 - x + 1):(x + 2). [risposte: a) quoziente: x3 + 9x2 + 22x - 25, resto = 91; b) quoziente: x3 - 9x2 + 22x - 25, resto = -25; c) quoziente: x3 - 9x2 + 22x - 45, resto = 91; d) quoziente: x3 + 9x2 + 22x - 25, resto = -25 ]
Risoluzione: si indica con P(x) il polinomio di grado superiore (dividendo) e con D(x) il secondo polinomio (divisore):
P(x) = x4 - 7x3 + 4x2 - x + 1
D(x) = x + 2
Si ricercano il polinomio quoziente Q(x) e il polinomio resto R(x) tali che:
P(x) = Q(x)·D(x) + R(x)
Si dispongono i polinomi P(x) e D(x), dopo averli ordinati secondo le potenze decrescenti di x, nella seguente tabella, riportando anche i segni di ciascun termine:

Si divide il termine di grado massimo di P(x) per il termine di grado massimo di D(x):

Si moltiplica il risultato della divisione precedente per ciascuno dei termini del polinomio D(x). I risultati così ottenuti si riportano, con i segni invertiti, al di sotto dei termini del polinomio P(x) con lo stesso grado:

Nella parte sinistra della tabella si eseguono le operazioni in colonna, riportando i relativi risultati sempre nella parte sinistra:

Si reiterano i passaggi precedenti sino a che il grado del termine di grado massimo a sinistra (preso dall'ultimo polinomio, più in basso) è minore rispetto al termine di grado massimo del polinomio divisore D(x):
La risposta corretta è, quindi, la c).
Quiz n. 5
Traccia: Determinare un M.C.D. e un m.c.m. dei seguenti polinomi: (a - 1)2(a2 + 5a + 6), (a + 2)2(a2 - 9), (a + 3)3(a2 - 1). [risposte: a) M.C.D.: a + 3, m.c.m.: (a + 1)(a - 1)2(a + 2)2(a + 3)3(a - 3); b) M.C.D.: a + 3, m.c.m.: (a + 1)2(a - 1)2(a + 2)2(a - 3)3(a + 3)2; c) M.C.D.: a - 3, m.c.m.: (a + 1)(a - 1)2(a + 2)2(a + 3)3(a - 3); d) M.C.D.: a - 3, m.c.m.: (a + 1)2(a - 1)2(a + 2)2(a - 3)3(a + 3)2]
Risoluzione: si scompongono in fattori i 3 polinomi forniti dalla traccia del quesito:
(a - 1)2(a2 + 5a + 6) = (a - 1)2(a + 2)(a + 3)
(a + 2)2(a2 - 9) = (a + 2)2(a - 3)(a + 3)
(a + 3)3(a2 - 1) = (a + 3)3(a - 1)(a + 1)
Il M.C.D. è il polinomio che si ottiene moltiplicando i fattori comuni ai 3 polinomi, presi una sola volta e con il minimo esponente:
M.C.D.: a + 3
Il m.c.m. è, invece, il polinomio che si ottiene moltiplicando i fattori comuni e non comuni ai 3 polinomi, presi una sola volta e con il massimo esponente:
m.c.m.: (a + 1)(a - 1)2(a + 2)2(a + 3)3(a - 3)
La risposta corretta è, quindi, la a).
Quiz n. 6
Traccia: Scomporre in fattori il seguente polinomio: a4 - 13a2 + 36. [risposte: a) (a2 + 4)(a2 + 9); b) (a2 + 4)(a + 3)(a - 3); c) (a + 2)(a - 2)(a2 + 9); d) (a + 2)(a - 3)(a - 2)(a + 3)]
Risoluzione: per scomporre il trinomio di secondo grado "ax2 + bx + c", con "a = 1", si possono ricercare due numeri che danno, per somma, il coefficiente centrale "b" e, per prodotto, il termine noto "c". Una volta trovati i due numeri, si esegue la fattorizzazione nel seguente modo:
ax2 + bx + c = (x + 1° numero)(x + 2° numero)
In maniera analoga, si applica tale metodo di scomposizione al trinomio di quarto grado "a4 - 13a2 + 36": i due numeri che, per somma, danno "-13" e, per prodotto, "+36" sono "-4" e "-9"; pertanto, si ottiene:
a4 - 13a2 + 36 =
= (a2 - 4)(a2 - 9) =
= (a + 2)(a - 2)(a + 3)(a - 3)
La risposta corretta è, quindi, la d).
Quiz n. 7
Traccia: Semplificare la seguente espressione: √450 - √200 + 7·√18 - √32. [risposte: a) -√2; b) 22√2; c) 14√2; d) √2]
Risoluzione: inizialmente, si scompongono i radicandi in fattori primi:
Tale scomposizione permette di semplificare l'espressione portando fuori dal segno di radice i fattori con esponente maggiore o uguale all'indice della radice:
= 3·5√2 - 2·5√2 + 7·3√2 - 22√2 =
= 15√2 - 10√2 + 21√2 - 4√2 =
= 22√2
La risposta corretta è, quindi, la b).
Quiz n. 8
Traccia: Laura ha un fratello di nome Marco. Il nonno di Laura ha il quadruplo degli anni di Marco, che è di 1/4 più piccolo di lei. Sapendo che la somma delle età di Laura, del nonno e di Marco è pari a 152, quanti anni ha il fratello di Laura? [risposte: a) 24; b) 32; c) 28; d) 30]
Risoluzione: si indicano con "L", "M" ed "N" le età incognite rispettivamente di Laura, Marco e del nonno.
In base alle informazioni fornite dalla traccia del quiz, si imposta il seguente sistema lineare di 3 equazioni in 3 incognite:
2) M = (3/4)•L ("Marco è di 1/4 più piccolo di Laura")
3) L+M+N = 152 ("la somma delle età di Laura, del nonno e di Marco è pari a 152")
Sostituendo il valore di "M", ricavato dalla relazione 2), nella relazione 1), si ottiene:
⇓
N = 3•L
Si sostituiscono, successivamente, i valori di "N" ed "M", ricavati dalle relazioni 1) e 2), nella relazione 3) e si calcola l'età incognita di Laura:
⇓
4L + 3L + 12L = 608
⇓
19L = 608
⇓
L = 32
Infine, l'età di Marco vale:
↓
M = (3/4)•32
↓
M = 24
La risposta corretta è, quindi, la a).
Quiz n. 9
Traccia: Individua il numero che completa correttamente la successione: 2, 4, 6, 10, 16, 26, 42, ........ [risposte: a) 65; b) 59; c) 68; d) 56]
Risoluzione: nella serie numerica proposta ogni numero, tranne i primi due, è uguale alla somma dei due numeri che lo precedono; si ha infatti:
4+6 = 10
6+10 = 16
10+16 = 26
16+26 = 42
26+42 = 68
La risposta corretta è, quindi, la c).
Quiz n. 10
Traccia: In un'urna ci sono 40 palline numerate da 1 a 40. Se si estrae una pallina a caso, qual è la probabilità che esca un numero divisibile per 2 e per 3? [risposte: a) 12/40; b) 3/20; c) 3/40; d) 20/40]
Risoluzione: per sapere quante palline sono contrassegnate con numeri divisibili per 3, basta dividere il numero totale di palline per 3 e considerare solo la parte intera del quoziente ottenuto:
Di queste 13 palline solo 6 sono contrassegnate con numeri pari e quindi divisibili anche per 2:
In definitiva, la probabilità che esca un numero divisibile per 2 e per 3 è data dal seguente rapporto:
⇓
P = 6/40
⇓
P = 3/20
La risposta corretta è, quindi, la b).
Quiz n. 11
Traccia: Marco ha preso i seguenti voti in matematica: 8; 6; 7; 5; 7; 8. Quale voto deve prendere per avere la media del 7? [risposte: a) 7; b) 9; c) 8; d) 10]
Risoluzione: si indica con "x" il voto incognito e si applica la definizione di media aritmetica semplice: il rapporto tra la somma dei voti di matematica ottenuti da Marco ed il numero di tali voti deve essere pari alla media che il ragazzo desidera raggiungere.
Applicando la formula della media aritmetica semplice, si ha:
⇓
41+x = 49
⇓
x = 8
La risposta corretta è, quindi, la c).
Quiz n. 12
Traccia: Un treno ad alta velocità viaggia a 300 km/h. Parte da Napoli, dopo 200 km si ferma a Roma e poi da lì riparte per arrivare a Milano dopo altri 500 km circa. Quanto tempo impiega il treno per arrivare da Roma a Milano? [risposte: a) più di due ore; b) più di tre ore; c) poco meno di un'ora; d) poco più di un'ora]
Risoluzione: i dati utili per risolvere l'esercizio sono la velocità del treno (v = 300 km/h) e la distanza percorsa tra Roma e Milano (s = 500 km). Non interessa conoscere il tempo necessario per arrivare da Napoli a Roma e, quindi, si trascura il dato fornito dal quiz sulla distanza tra le due città (200 km).
Per definizione, la velocità è data dal rapporto tra lo spazio percorso e l'intervallo di tempo impiegato a percorrerlo:
Dalla formula inversa, si può, pertanto, ricavare il tempo incognito:
⇓
t = (500 km) / (300 km/h)
⇓
t = (5/3) h
t = (3/3) h + (2/3) h
t = 1h + (2/3)·(60 min)
t = 1h 40 min
La risposta corretta è, quindi, la d).
Quiz n. 13
Traccia: Assegnando un numero reale x qualunque, un robot ha le sole possibilità di trasformarlo nel numero x+3 o nel numero x-2 o nel numero 1/x o nel numero x2. Gli è concesso di eseguire la trasformazione per 3 volte consecutive, con piena libertà di scelta ad ogni passo. Inizialmente gli viene assegnato il numero 1,99. Se indichiamo con y il più grande numero che il robot può ottenere alla fine, allora: [risposte: a) y = 4,994; b) y = 1,998; c) 1.000 < y < 10.000; d) y = 10.000]
Risoluzione: si indicano le singole trasformazioni possibili con dei numeri per rendere maggiormente comprensibile la spiegazione:
2) x - 2
3) 1/x
4) x2
La combinazione "perfetta" per ottenere il più grande numero "y" possibile è costituita dalla successione nell'ordine delle trasformazioni 2, 4 e 3; infatti applicando al numero x = 1,99 la trasformazione 2, si ottiene un numero negativo più piccolo di 1; successivamente, applicando la trasformazione 4 al risultato intermedio ottenuto, si ricava un numero positivo e 100 volte più piccolo del numero precedente; infine, si applica la trasformazione 3 al secondo risultato intermedio: la divisione per un numero piccolissimo permette di ottenere, come risultato finale, un numero 100 milioni di volte più grande del numero precedente.
Pertanto, eseguendo i calcoli sopra indicati, si ha:
⇓
trasformazione 2
⇓
y = 1,99 - 2 = - 0,01
⇓
trasformazione 4
⇓
y = (-0,01)2 = 0,0001
⇓
trasformazione 3
⇓
y = 1 / 0,0001 = 10.000
La risposta corretta è, quindi, la d).
Quiz n. 14
Traccia: Se 9n + 9n + 9n = 32011, quanto vale n? [risposte: a) 1006; b) 1005; c) 2010; d) 2011]
Risoluzione: si risolve di seguito l'equazione esponenziale proposta dal quiz:
⇓
32n + 32n + 32n = 32011
⇓
3·32n = 32011
⇓
32n+1 = 32011
⇓
2n+1 = 2011
⇓
n = 1005
La risposta corretta è, quindi, la b).
Quiz n. 15
Traccia: Se si sviluppa la potenza (a + b)8, qual è il coefficiente del termine che ha parte letterale a4b4? [risposte: a) 56; b) 35; c) 70; d) 20]
Risoluzione: per sviluppare la potenza (a+b)n si deve innanzitutto costruire il triangolo di Tartaglia che fornisce i coefficienti dei termini del polinomio risultante dallo sviluppo del binomio, per qualsiasi esponente "n" intero e positivo.
Nel caso in esame, bisogna considerare la riga del triangolo corrispondente all'esponente n = 8:
1 1
1 2 1
1 3 3 1
1 4 6 4 1
1 5 10 10 5 1
1 6 15 20 15 6 1
1 7 21 35 35 21 7 1
1 8 28 56 70 56 28 8 1
Come si evince dalla figura, la potenza (a+b)8 si sviluppa dando origine ad un polinomio i cui termini sono:
1·a8; 8·a7b; 28·a6b2; 56·a5b3; 70·a4b4; 56·a3b5; 28·a2b6; 8·ab7; 1·b8.
Il quinto termine del polinomio è quello che interessa per la risoluzione del quiz.
La risposta corretta è, quindi, la c).
TUTOR QUALIFICATO ON-LINE
Ti stai preparando per i test intellettivi di tipo logico-deduttivo relativi alla Prova Preliminare o per la Prova di cultura generale (fisica e matematica) per il Concorso Scuole Militari?
Affidati alla professionalità e all'esperienza...prenota ora le tue lezioni on-line, via Skype, con l'Ing. Galeone.
Le lezioni saranno individuali e altamente personalizzate...così avrai un aiuto mirato alle tue specifiche esigenze formative!
Per maggiori info sulle modalità di svolgimento delle lezioni clicca QUI.
Per tornare alla pagina principale di Scuole Militari clicca:
Pagina principale - Concorsi Scuole Militari di Esercito, Marina ed Aeronautica.